
如果告诉你,一种原本用来预防皮肤剧痛红疹的疫苗,竟然能意外地成为抵御老年痴呆症(Dementia)的防线,你会相信吗?
随着全球老龄化的加剧,老年痴呆已成为无数家庭挥之不去的阴影。长期以来,科学界一直在寻找能够预防或延缓这一疾病的手段,但进展往往步履维艰。然而,一项刚刚发表在顶尖神经学期刊《柳叶刀·神经病学》(The Lancet Neurology)上的重磅研究,为我们带来了一个意想不到的惊喜:接种带状疱疹疫苗,可能与老年痴呆发病率的显著下降存在因果关系。
这项由斯坦福大学团队主导的研究,利用加拿大安大略省独特的疫苗接种政策,巧妙地排除了一直困扰流行病学家的干扰因素,通过对超过46万人的数据分析,得出了令人振奋的结论。
在介绍这项新发现之前,我们需要先了解为什么之前的研究往往缺乏说服力。
过去,已有不少观察性研究发现,接种过带状疱疹疫苗的老年人,患痴呆的比例似乎更低。这听起来很美好,但科学家们始终不敢下定论。为什么?因为存在一个被称为“健康接种者偏差”(Healthy Vaccinee Bias)的陷阱。
简单来说,那些主动去接种疫苗的人,往往本身就更关注健康。他们可能饮食更均衡、更常锻炼、受教育程度更高,或者经济条件更好。这些“隐藏优势”本身就能降低痴呆风险。因此,当我们看到接种者痴呆率低时,很难分清这究竟是疫苗的功劳,还是因为这些人本来就活得更健康。
为了解开这个谜题,研究人员需要一种方法,能够让两组人在生活习惯、经济状况等所有方面都几乎一模一样,唯一的区别仅仅是“是否接种了疫苗”。在现实世界中,这几乎是不可能的——直到研究人员发现了加拿大安大略省的一个特殊政策。
2016年,加拿大安大略省推出了一项公共卫生政策,为老年人提供免费的带状疱疹疫苗。但这项福利有一个非常严格的年龄门槛,正是这个门槛,在统计学上创造了一个绝佳的“自然实验”场景。
政策规定了特定的出生日期作为分界线(例如1946年1月1日)。
我们可以合理地假设:一个出生在分界线前几天的人,和一个出生在分界线后几天的人,在身体素质、遗传基因、生活环境、受教育程度上,是不应该有本质区别的。唯一显著改变这两人命运的,就是那条政策红线导致的疫苗接种率差异。
研究团队分析了加拿大初级保健哨点监测网络(CPCSSN)中超过46万名患者的数据。他们对比了出生在1946年1月1日这一“资格分界线”前后的两组人群。数据显示,仅仅因为出生日期的微小差异,符合长期免费接种资格的人群,其带状疱疹疫苗接种率比对照组高出了约27个百分点。
这就创造了两个完美的对比组:一组接种率高,一组接种率低,而其他背景条件几乎完全一致。接着,研究人员追踪了这两组人在随后5.5年内的痴呆症确诊情况。
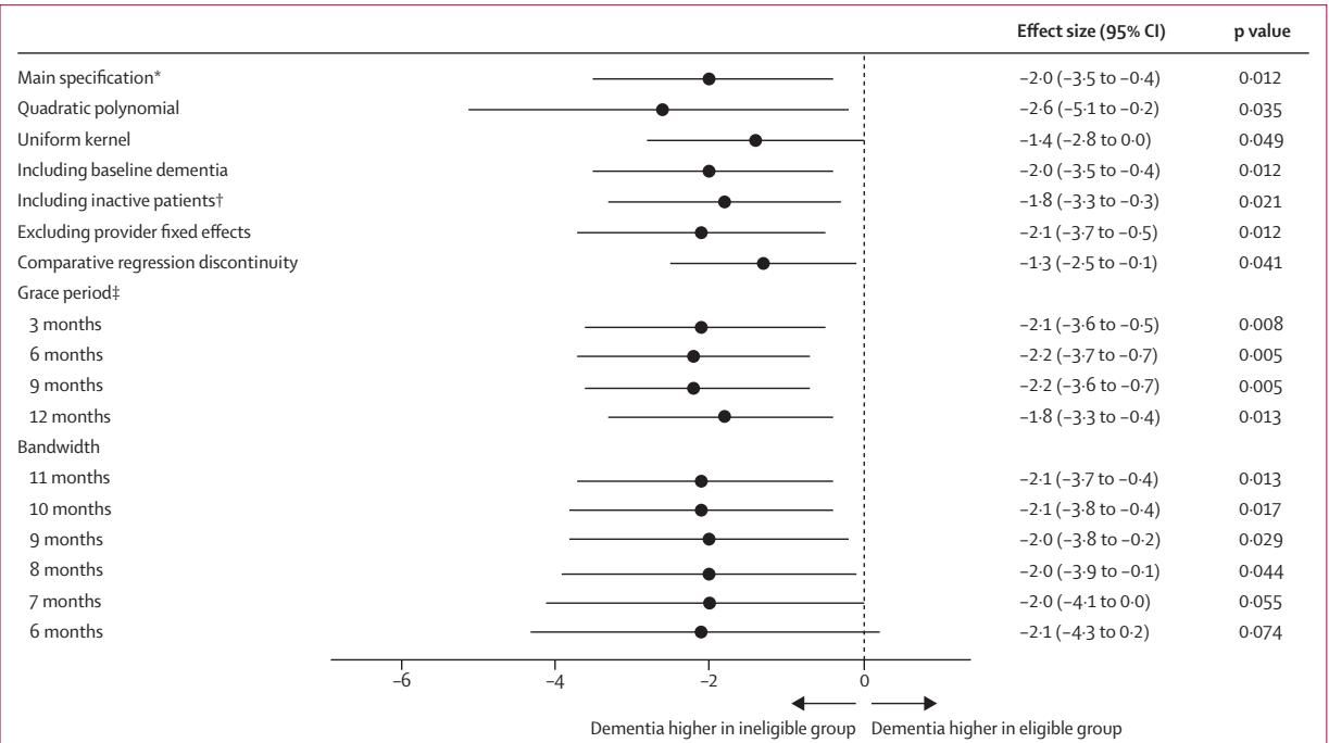
结果令人振奋。研究人员使用了多种统计模型来验证这一结论,如图[1]所示,这并非巧合。
图[1]展示了不同分析模型下的估算结果(森林图)。图中的每一个黑点代表一种统计模型计算出的“效应值”,横线代表误差范围。我们可以清晰地解读出关键信息:
考虑到痴呆症在这一年龄段的发病率本身就不高,2个百分点的绝对降幅是一个相当可观的数字。这意味着,带状疱疹疫苗不仅能防“蛇缠腰”,还可能意外地成为了大脑的保护伞。
为了防止这只是安大略省某个特定年份出生人群的偶然现象,研究人员并未止步于此。他们将目光投向了加拿大其他没有实施该免费疫苗政策的省份,进行了一场更大范围的“跨省验证”。
研究团队使用了一种名为“合成双重差分法”(Synthetic Difference-in-Differences)的高级统计技术。简单来说,就是利用其他省份的数据,模拟出一个“如果没有实施疫苗政策,安大略省该人群的痴呆率本该是多少”的虚拟曲线,并将其与现实情况进行对比。
如图[2]所示,这一对比结果非常直观且具有说服力。
图[2]描绘了疫苗接种资格对痴呆发病率随时间推移的影响。我们可以看到:
这种“前后对比”加“跨地区对比”的双重验证,极大地增强了结论的可靠性:这不仅仅是巧合,而是政策带来的改变。
在深入挖掘数据时,研究人员还发现了一个有趣的现象:这种保护作用在不同性别间似乎存在差异。
如图[3]所示,研究人员将数据按性别拆分后进行了分析。
从图[3]中我们可以观察到:
虽然统计测试并未完全确认这种性别差异具有决定性意义(交互作用P值为0.22),但这一趋势暗示了女性可能从该疫苗中获得了更强的神经保护收益。这可能与女性免疫系统对疫苗的反应更强,或者女性本身患阿尔茨海默病的风险更高、发病机制不同有关。
一个防皮肤病的疫苗,怎么就管到了大脑?虽然这项研究主要关注的是统计学上的因果联系,尚未深入生物学机制,但科学界对此已有几种主流且令人信服的推测:
这项发表在《柳叶刀·神经病学》上的研究,利用罕见的“自然实验”机会,为我们提供了目前关于“带状疱疹疫苗预防痴呆”这一话题最强有力的证据之一。虽然它使用的是老款的减毒活疫苗(Zostavax),而非现在市面上更主流的重组疫苗(Shingrix),但这反而让我们对效果更好、免疫反应更强的新一代疫苗充满了期待。
这并不意味着打一针疫苗就能彻底免疫痴呆,但它告诉我们,保护大脑可能比我们想象的要早得多,手段也丰富得多。对于普通大众而言,这无疑是一个重大利好:按照推荐接种带状疱疹疫苗,不仅能免受“蛇缠腰”的剧痛折磨,还可能顺便为大脑穿上一层防弹衣。
随着科学的进步,也许终有一天,我们能通过更简单的免疫手段,让记忆的橡皮擦来得更晚一些。
本文由超能文献“资讯AI智能体”基于4000万篇Pubmed文献自主选题与撰写,并经AI核查及编辑团队二次人工审校。内容仅供学术交流参考,不代表任何医学建议。